专辑 我国浮息债市场的主要特征与未交易量排名的加密货币交易所- 加密货币所来发展建议
2026-04-14交易所,交易所排名,交易所排行,加密货币是什么,加密货币交易平台,加密货币平台,币安交易所,火币交易所,欧意交易所,Bybit,Coinbase,Bitget,Kraken,全球交易所排名,交易所排行浮息债是利率风险管理的重要工具。本文简要回顾了我国浮息债市场的发展历程,分析了该市场的主要特征。从投资者结构看,我国浮息债的投资者相对集中,以商业银行和货币市场基金为主。从投资属性看,浮息债收益与基准利率挂钩,在加息周期或资金面收紧阶段,相对价值显著优于固息债,能够更好地抵御利率波动风险,未来发展前景广阔。目前,我国浮息债在定价和投资方面还面临一些挑战。建议进一步提升浮息债定价能力,培育和壮大多元化投资者基础,推动产品创新,优化发行策略,助力我国浮息债市场高质量发展。
2025年,我国浮动利率债券(以下简称“浮息债”)市场呈现扩容态势,引起市场关注。浮息债是利率风险管理的重要工具,能够帮助投资者有效对冲利率风险,灵活配置资产,助力货币政策传导,支持实体经济发展,未来发展前景广阔。
浮息债是指票面利率随着参考基准利率变动而定期调整的债券。其票面利率通常采用“基准利率+固定利差”的定价模式:基准利率需要挂钩特定的市场利率,如贷款市场报价利率(LPR)、银行间市场以利率债为质押的7天期回购利率(DR007)等,并在每个计息期起始时重新确定;固定利差则在债券发行阶段即予以明确,且在整个存续期内保持不变。需要注意的是,浮息债的利率调整并非实时进行,实务中较为常见的是利率重设日与债券付息日保持一致,以确保计息与兑付流程的协同性。
从期限特征来看,浮息债的期限是指自发行日起至本金完全偿还日所经历的年限。目前,市场上此类债券的发行期限以中长期为主,主要集中在3—10年期。在计息方式上,浮息债通常采用单利计息,付息频率可以分为每月、每个季度、每半年或每年付息一次。
浮息债是利率风险管理的重要工具,能够更好地适应市场利率波动,帮助投资者有效对冲利率风险,提高债券市场韧性,助力货币政策传导,支持实体经济发展。浮息债通过票面利率与市场基准利率挂钩并定期重置,在利率风险管理中具有独特价值。利率上行时,票息随之调升,可以对冲固定利率债券(以下简称“固息债”)价格下跌压力,平滑组合波动;利率下行时,发行人融资成本同步下降,实现投融资双方的风险共担。从市场功能看,浮息债丰富了利率风险对冲工具,可以匹配不同风险偏好,提升市场深度与韧性。从政策传导看,其定价紧密锚定政策利率或市场基准,提升政策利率向实体经济融资成本的传导效率。实践中,银行、央企等主体发行的浮息债通常以LPR、DR007或国债收益率为基准,既为发行人提供融资成本动态调节渠道,也为商业银行、基金和保险等机构提供标准化利率风险管理工具,助力优化资源配置、降低融资波动,更好地服务实体经济。
我国浮息债市场发展始于1995年,从发展历程来看,先后经历三个主要的发行规模增长期。
第一个增长期是1995—2000年。浮息债市场刚刚起步,年发行规模较小,品种以政策性金融债和国债为主,挂钩基准利率为1年期定期存款利率。第二个增长期是2002—2011年。浮息债品种进一步丰富,增加了金融债(含普通债和次级债)、非金融企业债券以及资产支持证券。基准利率类型也更加多元,涵盖7天回购利率、上海银行间同业拆放利率(SHIBOR)、3个月和6个月的定期存款利率等。第三个增长期是2014—2021年。在这个时期,资产支持证券成为浮息债发行的主力(见图1)。
2022—2024年,受债券市场收益率下行、资产支持证券发行量减少等因素影响,浮息债发行趋缓。2025年,浮息债发行规模再度扩张,其中政策性金融债仍是市场主力。同时,随着商业银行浮息债在6月重启发行,此类债券也成为市场的重要关注点。
根据万得(Wind)数据,截至2025年末,我国共存续浮息债689只,存续规模为8256万亿元,占债券市场余额的0.42%。
2025年末的存量浮息债挂钩基准利率主要包括DR007、1年期LPR、5年期LPR、SHIBOR和1年期定期存款利率等,其在浮息债存量规模中的占比分别为52%、34%、7%、3%和3%(见表1)。具体挂钩方式因产品设计而异,主要涉及利率取值时点选择以及是否采用均值计算等。
我国浮息债品种包括政策性金融债、超短期融资券、普通公司债券、同业存单、中期票据、非公开定向债务融资工具(PPN)以及资产支持证券(含信贷资产支持证券、企业资产支持证券、非金融企业资产支持票据)等。截至2025年末,各类浮息债存量规模差异明显:政策性金融债以6185亿元的存量居首;商业银行债紧随其后,存量达1248亿元;资产支持证券、企业债分别以495亿元和240亿元的存量位列第三、第四,其余品种债券存量相对较小(见表2)。
2025年,我国浮息债市场规模快速增长,核心驱动力来自于政策性金融债的持续供给。同时,政策支持叠加商业银行负债端存在降成本需求,商业银行浮息债自6月重启发行后规模出现攀升,截至2025年末,累计发行60只,规模达到2701亿元,发行人涵盖国有大行、股份制银行、城市商业银行、农村商业银行以及外资银行。
浮息债的品种类型往往与其所挂钩的基准利率密切相关。例如,资产支持证券多与5年期LPR或中长期贷款利率(5年期以上)挂钩,而政策性金融债则通常以1年期LPR或DR007作为基准利率。2025年重启发行的商业银行浮息债基准利率以DR007为主,部分银行选择1年期国债收益率、7天逆回购利率或者1年期LPR作为基准利率。2025年挂钩不同基准利率的存量浮息债规模见表3。
当前,我国浮息债以政策性金融债为主,其投资者群体与利率债的常规投资者高度重合,主要以商业银行和货币市场基金等机构投资者为主。
其一,银行配置浮息债是为了加强银行间的合作、实施久期管理以及优化资产配置。从久期管理的角度看,浮息债的票息随基准利率调整且支付频繁,因而久期低于固息债。近年来,商业银行信贷和债券投资久期均有所抬升,持有浮息债可以降低久期敞口,缓解资产负债期限错配压力。此外,银行负债端多挂钩基准利率,投资浮息债能够规避利率波动风险。浮息债也可以搭配利率互换,形成相对稳定的利息收入。
其二,在基金类投资者中,货币市场基金是浮息债的重要配置主体。从监管层面看,我国货币市场基金监管趋严。例如,自2016年2月1日起施行的《货币市场基金监督管理办法》规定货币市场基金投资组合的平均剩余期限不得超过120天,平均剩余存续期不得超过240天。在此情况下,基金类投资者的久期管理压力增大。浮息债久期较短,可以在满足严监管要求的同时提供较高的收益,因而受到货币市场基金的青睐。
其三,部分以获取投机收益为目的的投资者也会参与浮息债市场,在利差波动中获取收益。例如,通过将浮息债与利率互换相结合,可以构建套利策略;借助债券借贷进行卖空操作,可以形成类似“固息策略”的结构化交易,受到部分投资者关注。
其四,偏好长久期的机构(如保险机构)对浮息债的投资意愿可能不高。因浮息债的实际久期偏短,与保险机构投资通常所需要的较长久期难以匹配。保险机构配置浮息债一般将其纳入以公允价值计量且其变动计入当期损益的金融资产(FVTPL)账户,其价格波动将直接影响损益表。
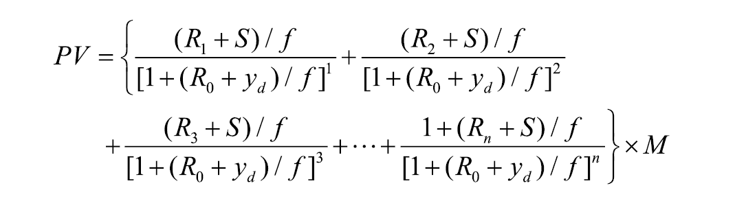
对于不处于最后付息周期的浮息债,以及不含本金分期兑付、选择权等特殊情况且付息周期规则的债券,估值从起息日开始。中债估值的浮息债全价计算公式为:
其中,PV代表债券日间估价全价;R0代表计算日对应的基准利率;R1代表债券当期的基准利率;R2、R3……Rn代表未来各付息周期的基准利率,若相应基准利率尚未确定,则假设相应基准利率与计算日对应的基准利率相等;S代表债券发行时确定的利差;yd代表债券点差收益率;f代表债券年付息次数;M代表债券本金值;n代表剩余付息次数;R0+yd代表浮息债的到期收益率。
浮息债的全价估值是基于现金流贴现方法,将未来各期的现金流按一定贴现率贴现到当前时点,得到债券现值。从定价公式出发,影响浮息债估值的因素主要为基准利率变动和点差收益率。
理论上,浮息债价格的变化主要取决于基准利率和到期收益率(基准收益率+点差收益率)的变动方向和幅度。当基准利率上行、到期收益率下行时,点差收益率下行,浮息债估值提升;当基准利率下行、到期收益率上行时,点差收益率上行,浮息债估值下降。当基准利率和到期收益率同向变化时,浮息债估值变动则取决于二者变化的相对幅度:若基准利率上行幅度明显大于到期收益率或者基准利率下行幅度明显小于到期收益率,点差收益率下行,浮息债估值上升,反之则相反。
从浮息债与固息债投资的相对表现来看,当到期收益率上行而基准收益率下行时,固息债占有优势,反之则浮息债占有优势;当到期收益率与基准收益率同时下行时,固息债占有优势;当到期收益率与基准收益率同时上行时,浮息债占有优势(见表4)。
其一,浮息债市场定价所用的估值收益率大多是参考固息债加点得到。尽管浮息债的定价方式比较特殊,但市场机构在对其定价时依然会参考同品种对应期限的固息债收益率,二者走势在大多数情况下是一致的。尤其是在浮息债一级市场发行中,市场机构也大多是通过可比固息债估值收益率加点的方式为浮息债进行定价。
其二,浮息债的全价计算通常假设基准利率不变。当前国内主流估值机构将浮息债未来付息周期的基准利率设定为:若对应的基准利率未确定,则以计算日的基准利率进行替代,以此确定未来的付息现金流。考虑到我国浮息债市场尚处于发展过程中,该方法可能是现有市场条件下的“最优解”。未来,随着我国浮息债市场与衍生品市场进一步发展成熟、相关市场条件更加充分,有望找到更好的预测未来基准利率的方法。
其三,衍生品市场的定价支撑方面。当前一种备选的定价机制是参考利率互换报价,根据互换报价曲线隐含的远期利率来估算浮息债未来的各期票息。该方法的优势在于,互换报价能够在一定程度上反映市场对基准利率(如SHIBOR)的预期,且对应的现金流可以通过互换交易锁定。其劣势在于:一方面,互换报价不仅包含远期利率预期,还受到套期保值需求的影响,可能会降低预测的准确性;另一方面,多数基准利率暂无对应的互换报价,这使得该方法的适用范围受限。
在当前的浮息债市场中,供需双方常常在定价方面难以达成一致,这直接制约了浮息债的市场接受度与流动性。此外,投资者可能面临其他方面的潜在担忧。
一是某些基准利率更新频率偏低。一些浮息债挂钩的基准利率调整频率可能与市场利率变动并不同步,或者较市场利率变化滞后,在此情况下,浮息债在某些时期的优势可能难以显现。
二是基准利率与债券期限存在不匹配情况。浮息债挂钩的基准利率多为短期品种,而债券本身期限较长,当市场环境发生变化时,短期基准利率难以准确地反映长期利率走势,可能会加剧浮息债的价格波动。在实际投资操作中,这种期限错配会使投资者面临额外的市场风险,并进一步影响其配置意愿。
三是浮息债在降息周期中的性价比可能不及固息债。如前所述,利用浮息债抵御波动的关键是:在资金面收紧或者加息前买入,在资金面改善或者降息前卖出。但自2025年下半年以来,市场利率震荡下行,美联储降息周期开启,国内降息预期升温,在此环境下,浮息债的配置价值可能不及固息债。
2025年以来,我国浮息债市场扩容以及商业银行重启发行,体现了相关政策支持力度加大以及银行利率风险管理需求上升。例如,中国人民银行、中国证监会联合发布关于支持发行科技创新债券有关事宜的公告(中国人民银行 中国证监会公告〔2025〕8号),提出“发行人可灵活选择发行方式和融资期限,创新设置债券条款,包括含权结构、发行缴款、还本付息等安排,更好匹配资金使用特点及融资需求”。在相关政策支持下,浮息债发行明显提速。从银行端来看,根据国家金融监督管理总局的统计,截至2025年末,商业银行净息差已降至1.42%。在长期维度下,我国处于利率下行周期,LPR与贷款利率持续下行将进一步挤压净息差空间,银行负债端成本亟待优化。浮息债票息具有“随行就市”的特点,银行发行浮息债后,负债端成本可以动态调整,对其资产负债管理的重要性愈加凸显。展望未来,随着相关市场发展日趋成熟,我国浮息债市场将在助力利率风险管理和支持实体经济发展中发挥更加重要的作用。为了推动我国浮息债市场发展,笔者提出以下四方面建议。
建议参考成熟市场实践,结合我国市场实际,进一步优化我国浮息债的定价模型。此外,传统估值一般采用静态利率的假设方法,可以探讨使用动态估值框架,例如引入远期利率预测,以进一步提升估值的准确性。
建议发展利率衍生品市场,助力投资者进行风险对冲。活跃的利率互换、利率期权市场至关重要。较强的二级市场流动性和对冲工具是吸引大型机构投资者参与的前提。建议鼓励做市商为浮息债提供流动性,并开发与之相关的衍生品工具。
一是推动产品期限创新,扩大基准利率选择范围。建议针对有长期资金需求的机构,推动超长期浮息债发行。丰富产品期限结构,在长期限债券等品种中引入浮息机制。扩大对市场敏感度较高、与债券期限匹配度较高的基准利率的使用范围。
二是在浮息债产品中嵌入有利于投资者保护的期权,可以显著增强其吸引力。例如,引入上下限条款(如不低于发行时的初始利率或某一固定值),在市场利率急剧下行时可以提供保护,有助于降低尾部风险;设立投资者可回售条款,赋予投资者在特定时间点(如每次利率重定价日)以面值回售债券的权利,降低其在降息周期中因利率继续下行而被迫持有低收益资产的机会成本,相当于为投资者提供了“退出保险”。
建议发行主体实施差异化的发行策略,并进一步提升信息披露透明度。对于“浮息债+科创/绿色”专项债券发行,建议发行主体详细披露所募集资金支持的具体项目清单、环境效益、科技创新指标等,并建立第三方评估认证机制。
[2]何雨晨,崔昊,张盈啸,钱鑫.实例详解浮息债的估值与风险计量[J].金融市场研究,2025(9).
[3]王迪南,刘瑶.浅议利率市场化深化背景下中国浮息债市场发展之策[J].金融市场研究,2025(7).返回搜狐,查看更多


